龐羽梁儀器儀表(上海)有限公司是俄羅斯品牌TECHNO-AC的中國總代理商
俄羅斯泰克諾AC’TECHNO-AC’二通道數據記錄溫度計DT-529 產品簡介:
產品型號:DT-529
產品品牌:泰克諾AC’TECHNO-AC’
產品類別:測溫儀
產品備注:溫度計
俄羅斯泰克諾AC’TECHNO-AC’二通道數據記錄溫度計DT-529 產品概述:
數字雙通道數據記錄溫度計DT-529用于通過探頭在介質中的穿透(穿透測量),固體表面溫度的接觸測量(表面測量),測量液體,干燥,氣體介質的溫度氣態非腐蝕性介質的相對濕度、大氣壓力測量、空氣流速測量。
DT-529,根據訂單的不同配備不同用途的探頭。
雙通道數據記錄溫度計 5.29 可以同時安裝不同類型的探頭,連接到第一個通道,電阻溫度計或具有統一電流輸出 4..20 mA 的傳感器連接到第二個通道。
DT-529具有自動讀取連接探頭類型的功能。
俄羅斯泰克諾AC’TECHNO-AC’二通道數據記錄溫度計DT-529 產品特征:
用分辨率 1 測量物理量;0,1; 0.01(可在菜單中設置);
可更換探頭;
兩個探頭同時使用進行測量;
露點計算;
將測量讀數保存在設備的 SD 卡上;
以 1 秒到 23 小時 59 分 59 秒的間隔記錄讀數;
顯示測量讀數的統計數據,例如最近 90 次測量的最大、最小讀數;
已安裝電池或蓄電池充電狀態指示;
超過預設測量量極限點時的聲音信號設置;
設置停機時間后自動休眠;
設定停機時間后自動關機;
圖形顯示測量讀數隨時間變化;
以表格或圖表形式保存在 SD 卡上的讀數;
保護電池免受過度放電;
與PC連接進行設備設置和保存數據檢查;
外部電源連接;
關閉設備的電流、平均、最大、最小電源電壓、剩余工作時間時自動保存。
濕度、大氣壓、光度測量;
溫濕度同步測量;
1 年制造商保修;
由標準 AA 電池供電;
圖形彩色顯示。
俄羅斯泰克諾AC’TECHNO-AC’二通道數據記錄溫度計DT-529 產品應用:
DT-529被用于高度精確的測量,并通過與所述測量對象的直接接觸的溫度,濕度和露點溫度的日志記錄。
由于可以更換探頭,幾乎可以對任何介質進行測量:液體、干燥、固體。
兩個測量通道和一個記錄功能允許您收集所有測量的詳細信息并將其存儲在存儲卡上。
設備附帶的軟件允許您在計算機上存儲和檢查數據。
由于信道中的一個允許你傳感器和電阻溫度計與從4到20毫安的電流連接,我們推薦DT-529作為用于聯合使用由TECHNO-AC制造傳感器和其他品牌傳感器的記錄器。
改進的設備允許使用高精度探頭:
高精度表面測量;
高精度空氣溫度測量;
高精度大氣壓力測量;
使用 K、L、B、R、S 型熱電偶;
與其他制造商的傳感器配合使用;
同時高精度測量溫度和濕度。
俄羅斯泰克諾AC’TECHNO-AC’二通道數據記錄溫度計DT-529 產品參數:
| 范圍 | 價值 |
| 測量由大氣溫度從正常(從?+15?到?+25°C)在?-20?到?+50°C?范圍內每?10°C、°C?變化引起的*對附加儀器誤差的限制 | ± 0,5 |
| 測量由大氣溫度從正常(從?+15?到?+25°C)在?-20?到?+50°C?范圍內每?10°C?變化引起的相對濕度時的*對附加儀器誤差限制,% | ± 0,5 |
| 測量由大氣溫度從正常(從?+15?到?+25°C)在?-20?到?+50°C?范圍內每?10°C?變化引起的電流信號時*對附加儀器誤差的限制,% | ±0.5×Δ*對值 指令 |
| 直流電源電壓,V | 3 |
| 外部直流電源電壓,V | 5 |
| 電子單元與探頭之間的連接電纜長度,m | 1* |
| 電子單元重量,小于,kg | 0,2 |
| 電子單元外形尺寸,小于mm | 180 × 70 × 27 |
| 平均無差錯運行時間,至少,h | 10000 |
| 平均使用壽命,至少年 | 10 |
龐羽梁儀器儀表(上海)有限公司是俄羅斯品牌TECHNO-AC的中國總代理商
俄羅斯泰克諾AC’TECHNO-AC’二通道數據記錄溫度計DT-527 產品簡介:
產品型號:DT-527
產品品牌:泰克諾AC’TECHNO-AC’
產品類別:測溫儀
產品備注:溫度計
俄羅斯泰克諾AC’TECHNO-AC’二通道數據記錄溫度計DT-527 產品概述:
數字雙通道數據記錄溫度計DT-527用于通過探頭在介質中的穿透(穿透測量),固體表面溫度的接觸測量(表面測量),測量液體,干燥,氣體介質的溫度氣態非腐蝕性介質的相對濕度、大氣壓力測量、空氣流速測量。
DT-527具有自動讀取連接探頭類型的功能。
俄羅斯泰克諾AC’TECHNO-AC’二通道數據記錄溫度計DT-527 產品特征:
用分辨率 1 測量物理量;0,1; 0.01(可在菜單中設置);
可更換探頭;
兩個探頭同時使用進行測量;
露點計算;
將測量讀數保存在設備的 SD 卡上;
以表格或圖表形式保存在 SD 卡上的讀數;
與PC連接進行設備設置和保存數據檢查;
用于存儲和檢查測量值的本地 PC 軟件;
以 1 秒到 23 小時 59 分 59 秒的間隔記錄讀數;
顯示測量讀數的統計數據,例如最近 90 次測量的最大、最小讀數;
已安裝電池或蓄電池充電狀態指示;
超過預設測量量極限點時的聲音信號設置;
設置停機時間后自動休眠;
圖形顯示測量讀數隨時間變化;
保護電池免受過度放電;
外部電源連接;
關閉設備的電流、平均、最大、最小電源電壓、剩余工作時間時自動保存。
濕度、大氣壓、光度測量;
溫濕度同步測量;
1 年制造商保修;
由標準 AA 電池供電;
圖形彩色顯示。
俄羅斯泰克諾AC’TECHNO-AC’二通道數據記錄溫度計DT-527 產品應用:
DT-527 用于通過與測量對象直接接觸來高精度測量溫度、濕度和露點溫度。
由于可以更換探頭,幾乎可以對任何介質進行測量:液體、干燥、固體。
兩個測量通道和一個記錄功能允許您收集所有測量的詳細信息并將其存儲在存儲卡上。
設備附帶的軟件允許您在計算機上存儲和檢查數據。
改進的設備允許使用高精度探頭:
高精度表面測量;
高精度空氣溫度測量;
高精度大氣壓力測量;
使用 K、L、B、R、S 型熱電偶;
同時高精度測量溫度和濕度。
俄羅斯泰克諾AC’TECHNO-AC’二通道數據記錄溫度計DT-527 產品參數:
| 范圍 | 價值 |
| 測量由大氣溫度從正常(從?+15?到?+25°C)在?-20?到?+50°C?范圍內變化引起的*對附加儀器誤差的限制,每?10°C,°C | ± 0,5 |
| 測量由大氣溫度從正常(從?+15?到?+25°C)在?-20?到?+50°C?范圍內每?10°C?變化引起的相對濕度時的*對附加儀器誤差限制,% | ± 0,5 |
| 直流電源電壓,V | 3 |
| 外部直流電源電壓,V | 5 |
| 電子單元與探頭之間的連接電纜長度,m | 1* |
| 電子單元重量,小于,kg | 0,2 |
| 電子單元外形尺寸,小于mm | 180 × 70 × 27 |
| 平均無差錯運行時間,至少,h | 10000 |
| 平均使用壽命,至少年 | 10 |
龐羽梁儀器儀表(上海)有限公司是俄羅斯品牌TECHNO-AC的中國總代理商
俄羅斯泰克諾AC’TECHNO-AC’二通道數字溫度計DT-511 產品簡介:
產品型號:DT-511
產品品牌:泰克諾AC’TECHNO-AC’
產品類別:測溫儀
產品備注:溫度計
俄羅斯泰克諾AC’TECHNO-AC’二通道數字溫度計DT-511 產品概述:
數字溫度計DT-511用于通過探頭與測量對象的直接接觸來測量不同介質的溫度、空氣的相對濕度。
DT-511 是一種雙通道設備,可與兩個探頭同時工作。
溫度計由電子單元和可更換探頭組成。
使用熱電偶作為探頭中的熱敏元件。
使用電容式濕度傳感器作為相對濕度探頭中的測量元件。
俄羅斯泰克諾AC’TECHNO-AC’二通道數字溫度計DT-511 產品特征:
一臺設備通過兩個通道同時測量任意組合的濕度和溫度;
以0,1°С的分辨率測量溫度;
以0.1%的分辨率測量相對濕度;
可更換探頭;
與兩個探頭同時工作;
9 個存儲單元,用于存儲測量讀數;
測量大氣壓力;
在屏幕上顯示熱補償傳感器的溫度;
使用濕度探頭時顯示氣溫
將測量的溫度和濕度固定在設備的內存中;
顯示給定測量次數的平均溫度和濕度;
顯示最高溫度和濕度(對于給定的測量次數);
顯示最低溫度和濕度(對于給定的測量次數);
設置測量的溫度和濕度限制;
達到所測溫濕度設定值后發出聲音指示;
關閉設備的電流、平均、最大、最小電源電壓、剩余工作時間時自動保存。
1 年制造商保修;
由標準 AA 電池供電。
俄羅斯泰克諾AC’TECHNO-AC’二通道數字溫度計DT-511 產品應用:
DT-511被用于通過與所述測量對象的直接接觸的溫度,濕度和露點溫度的高度精確的測量。
由于可以更換探頭,幾乎可以對任何介質進行測量:液體、干燥、固體。
改進的設備允許使用高精度探頭:
高精度表面測量;
高精度空氣溫度測量;
使用 K、L、B、R、S 型熱電偶;
高精度大氣壓測量;
同時高精度測量溫度和濕度。
俄羅斯泰克諾AC’TECHNO-AC’二通道數字溫度計DT-511 產品參數:
| 范圍 | 價值 |
| 測量溫度范圍 | -100…+1800(取決于所用探頭的類型) |
| 相對儀器誤差 | ±0.5 % +最低有效數字值 |
| 解決 | 0.1℃ |
| 可更換探頭類型的數量 | 24 |
| 測量的相對濕度范圍,% | 0…100 |
| 相對濕度測量的*對儀器誤差,% | 3 |
| 使用條款: | -20…+50 °C |
| 相對濕度: | 在 T = 35 °C 時小于 80 % |
| 氣壓: | 86 – 106 千帕 |
| 電壓 | 1.5×2 伏 |
龐羽梁儀器儀表(上海)有限公司是俄羅斯品牌TECHNO-AC的中國總代理商
俄羅斯泰克諾AC’TECHNO-AC’數顯溫度計DT-509 產品簡介:
產品型號:DT-509
產品品牌:泰克諾AC’TECHNO-AC’
產品類別:測溫儀
產品備注:溫度計
俄羅斯泰克諾AC’TECHNO-AC’數顯溫度計DT-509 產品概述:
數字溫度計DT-509用于通過探頭與測量對象的直接接觸來測量不同介質的溫度、空氣的相對濕度。9 個存儲單元使該設備能夠記錄和存儲操作員所需的測量值。
數字溫度計由電子單元和可更換探頭組成。
使用熱電偶作為探頭中的熱敏元件。
使用電容式濕度傳感器作為相對濕度探頭中的測量元件。
俄羅斯泰克諾AC’TECHNO-AC’數顯溫度計DT-509 產品特征:
以0,1°С的分辨率測量溫度;
以0.1%的分辨率測量相對濕度;
可更換探頭;
9 個存儲單元,用于存儲測量讀數;
在屏幕上顯示熱補償傳感器的溫度;
使用濕度探頭時顯示氣溫;
將測量的溫度和濕度固定在設備的內存中;
顯示給定測量次數的平均溫度和濕度;
顯示最高溫度和濕度(對于給定的測量次數);
顯示最低溫度和濕度(對于給定的測量次數);
設置測量的溫度和濕度限制;
達到所測溫濕度設定值后發出聲音指示;
1 年制造商保修;
由標準 AA 電池供電。
俄羅斯泰克諾AC’TECHNO-AC’數顯溫度計DT-509 產品應用:
DT-509 用于通過與測量對象直接接觸來高精度測量溫度和濕度。
由于可以更換探頭,幾乎可以對任何介質進行測量:液體、干燥、固體。
9 個存儲單元允許您保存最重要的測量值并選擇設備記錄它們的條件。
改進的設備允許使用高精度探頭:
高精度表面測量;
高精度空氣溫度測量;
使用 K、L、B、R、S 型熱電偶;
同時高精度測量溫度和濕度。
俄羅斯泰克諾AC’TECHNO-AC’數顯溫度計DT-509 產品參數:
| 范圍 | 價值 |
| 測量溫度范圍 | -100…+1800(取決于所用探頭的類型) |
| 相對儀器誤差 | ±0.5 % +最低有效數字值 |
| 解決 | 0.1℃ |
| 可更換探頭類型的數量 | 24 |
| 測量的相對濕度范圍,% | 0…100 |
| 相對濕度測量的*對儀器誤差,% | 3 |
| 使用條款: | -20…+50 °C |
| 相對濕度: | 在?T = 35 °C?時小于?80 % |
| 氣壓: | 86 – 106?千帕 |
| 電壓 | 1.5×2?伏 |
龐羽梁儀器儀表(上海)有限公司是俄羅斯品牌TECHNO-AC的中國總代理商
俄羅斯泰克諾AC’TECHNO-AC’數字溫度計DT-506 產品簡介:
產品型號:DT-506
產品品牌:泰克諾AC’TECHNO-AC’
產品類別:測溫儀
產品備注:溫度計
俄羅斯泰克諾AC’TECHNO-AC’數字溫度計DT-506 產品概述:
DT-506 用于通過與測量對象直接接觸來高精度測量溫度、濕度和露點溫度。
數字溫度計DT-506用于通過探頭與測量對象的直接接觸來測量不同介質的溫度、空氣的相對濕度。
使用濕度探頭時,溫度計可以使用 Goff-Gratch 公式計算露點溫度。
數字溫度計由電子單元和可更換探頭組成。
使用熱電偶作為探頭中的熱敏元件。
由于可以更換探頭,幾乎可以對任何介質進行測量:液體、干燥、固體。
改進的設備允許使用高精度探頭:
高精度表面測量;
高精度空氣溫度測量;
露點溫度計算與測量;
使用 K、L、B、R、S 型熱電偶;
同時高精度測量溫度和濕度。
該型號與適配器配合使用,用于連接 K、L、B、R、S 型熱電偶。
俄羅斯泰克諾AC’TECHNO-AC’數字溫度計DT-506 產品特征:
溫度測量分辨率為 0,1°С
以 0,1°С 分辨率測量空氣的相對濕度
可變探頭
最高溫度固定
最低溫度固定
指標讀數固定
露點溫度計算
帶明亮背光的大顯示屏
1 年制造商保修;
由標準 AA 電池供電。
俄羅斯泰克諾AC’TECHNO-AC’數字溫度計DT-506 產品參數:
| 范圍 | 價值 |
| 測量溫度范圍 | -100…+1800(取決于所用探頭的類型) |
| 相對儀器誤差 | ±0.5 % +最低有效數字值 |
| 解決 | 0.1℃ |
| 可更換探頭類型的數量 | 24 |
| 測量的相對濕度范圍,% | 0…100 |
| 相對濕度測量的*對儀器誤差,% | 3 |
| 使用條款: | -20…+50 °C |
| 電壓 | 1.5×2?伏 |
龐羽梁儀器儀表(上海)有限公司是俄羅斯品牌TECHNO-AC的中國總代理商
俄羅斯泰克諾AC’TECHNO-AC’數顯溫度計DT-504 產品簡介:
產品型號:DT-504
產品品牌:泰克諾AC’TECHNO-AC’
產品類別:測溫儀
產品備注:溫度計
俄羅斯泰克諾AC’TECHNO-AC’數顯溫度計DT-504 產品概述:
帶有可更換探頭的便攜式單通道溫度計 DT-504 用于通過探頭與測量對象的直接接觸來測量不同介質的溫度。
數字溫度計由電子單元和可更換探頭組成。
使用熱電偶作為探頭中的熱敏元件。
DT-504被用于通過與所述測量對象的直接接觸溫度的高度精確的測量。
液,干燥,固體:由于改變探針的可能性,測量可為幾乎任何介質中進行。
連接探頭:
滲透(正常,強制,用于粘性和正常液體);
表面(正常,彎曲,高溫)。
俄羅斯泰克諾AC’TECHNO-AC’數顯溫度計DT-504 產品特征:
可更換探頭;
以 1°С 分辨率測量溫度;
低功耗(一組電池至少可工作 350 小時);
大顯示屏,明亮的背光;
1 年制造商保修;
由標準 AA 電池供電。
俄羅斯泰克諾AC’TECHNO-AC’數顯溫度計DT-504 產品參數:
| 范圍 | 價值 |
| 測量溫度范圍 | -100 … + 1800(取決于所使用的探針的類型) |
| 相對儀器誤差 | ±1%+至少顯著數字值 |
| 解決 | 1℃ |
| 可更換探頭類型的數量 | 22 |
| 使用條款: | -20…+50 °C |
| 相對濕度 | 在?T = 35°C?時小于?80% |
| 氣壓 | 86 – 106?千帕 |
| 電壓 | 1.5×2?伏 |
龐羽梁儀器儀表(上海)有限公司是俄羅斯品牌TECHNO-AC的中國總代理商
俄羅斯泰克諾AC’TECHNO-AC’數字表面溫度計DT-501S 產品簡介:
產品型號:DT-501S
產品品牌:泰克諾AC’TECHNO-AC’
產品類別:測溫儀
產品備注:溫度計
俄羅斯泰克諾AC’TECHNO-AC’數字表面溫度計DT-501S 產品概述:
帶有不可更換表面探頭的便攜式數字溫度計 DT-501S。
快速測量固體物體(例如焊縫)的溫度。
DT-501S 用于通過探頭與測量對象的直接接觸來測量固體表面溫度。
溫度計由一個電子單元和一個不可更換的表面探頭組成。
使用熱電偶作為探頭中的熱敏元件。
俄羅斯泰克諾AC’TECHNO-AC’數字表面溫度計DT-501S 產品特征:
測量精度(分辨率)0.1°C;
帶背光液晶顯示;
操作簡單;
1 年制造商保修;
由標準 AA 電池供電。
俄羅斯泰克諾AC’TECHNO-AC’數字表面溫度計DT-501S 產品參數:
| 范圍 | 價值 |
| 測量溫度范圍 | -20…+200 °C |
| 相對儀器誤差 | ±2 % +最低有效數字值 |
| 解決 | 0.1℃ |
| 可更換探頭類型的數量 | 一個不可更換的表面探頭 |
| 使用條款: | -20…+50 °C |
| 相對濕度 | 在?T = 35°C?時小于?80% |
| 氣壓 | 86 – 106?千帕 |
| 電壓 | 1.5×2?伏 |
| 探頭長度 | 150?毫米 |
| 探頭和電子單元之間連接電纜的長度 | 1米(根據客戶要求,可增加到20米) |
龐羽梁儀器儀表(上海)有限公司是俄羅斯品牌TECHNO-AC的中國總代理商
俄羅斯泰克諾AC’TECHNO-AC’數顯體溫計DT-501P 產品簡介:
產品型號:DT-501P
產品品牌:泰克諾AC’TECHNO-AC’
產品類別:測溫儀
產品備注:體溫計
俄羅斯泰克諾AC’TECHNO-AC’數顯體溫計DT-501P 產品概述:
帶有不可更換穿透探頭的便攜式數字溫度計 DT-501P。
它可以快速測量液體、凝膠狀、半固體和干燥物質的溫度。
DT-501P 用于通過探頭與測量對象的直接接觸來測量液體、干燥介質的溫度。
溫度計由一個電子單元和一個不可更換的穿透探頭組成。
使用熱電偶作為探頭中的熱敏元件。
俄羅斯泰克諾AC’TECHNO-AC’數顯體溫計DT-501P 產品特征:
測量精度(分辨率)0.1°C;
帶背光液晶顯示;
操作簡單;
1 年制造商保修;
由標準 AA 電池供電。
俄羅斯泰克諾AC’TECHNO-AC’數顯體溫計DT-501P 產品參數:
| 范圍 | 價值 |
| 測量溫度范圍 | -40…+200 °C |
| 相對儀器誤差 | ±0.5 % +最低有效數字值 |
| 解決 | 0.1℃ |
| 可更換探頭類型的數量 | 一個不可更換的表面探頭 |
| 使用條款: | -20…+50 °C |
| 相對濕度 | 在 T = 35 °C 時小于 80 % |
| 氣壓 | 86 – 106 千帕 |
| 電壓 | 1.5×2 伏 |
龐羽梁儀器儀表(上海)有限公司是俄羅斯品牌TECHNO-AC的中國總代理商
俄羅斯泰克諾AC’TECHNO-AC’電弧放電發生器 GI-TA 產品簡介:
產品型號:GI-TA
產品品牌:泰克諾AC’TECHNO-AC’
產品類別:其他
產品備注:電弧放電發生器
俄羅斯泰克諾AC’TECHNO-AC’電弧放電發生器 GI-TA 產品概述:
電弧放電發生器 GI-TA 設計用于與 TDR:TDR-TA4.7 / TDR-TA1.7 / TDR-TA1.9 和第三方 TDR(支持 ARM 和 ICE 方法)一起處理故障位置),顯著擴展了他們定位低電壓 TDR 方法無法定位的高阻抗缺陷的能力。
設備為在高達 10 kV 的電力電纜上應用這些現代無損(不燒毀絕緣)搜索技術提供了必要條件:
帶有 TDR-TA4.7、TDR-TA1.7、TDR-TA1.9 的電弧反射法 (ARM)
脈沖電流法 (ICE) 與 TDR-TA4.7、TDR-TA1.9
俄羅斯泰克諾AC’TECHNO-AC’電弧放電發生器 GI-TA 產品特征:
完全自供電設備
小尺寸 – 可自由裝入汽車后備箱的復合體
輕的
俄羅斯泰克諾AC’TECHNO-AC’電弧放電發生器 GI-TA 產品參數:
| 技術特點 | |
| 輸出電壓范圍 | 0 … 10 kV |
| 輸出電壓電平 | 4 kV、10 kV |
| 充電方式 | 電纜直接充電?(AUTO),漏電流?< 10 mA |
| 為內置電容器充電?(MANUAL),漏電流?>10 mA | |
| 嵌入式存儲電容器 | 4 uF / 10kV |
| 最大儲存能量 | 200焦耳 |
| 穩弧時間 | 1 ms … 10 ms(取決于外部條件) |
| 所有低壓連接器上允許的最大脈沖電壓,專為連接到?TDR?而設計 | 在?TDR?連接器上:60 V; |
| 在?WAVE?連接器上:120 V; | |
| 在?TRIG?連接器上:20 V | |
| 電源 | 自主(電池) |
| 充滿電的電池“拍攝”次數 | 100 |
| 工作溫度范圍 | -20°C?至?+40°C |
| 方面 | 520x320x300?毫米 |
| 重量 | 26公斤 |
龐羽梁儀器儀表(上海)有限公司是俄羅斯品牌TECHNO-AC的中國總代理商
俄羅斯泰克諾AC’TECHNO-AC’電纜故障定位儀 TDR-TA1.9 產品簡介:
產品型號:TDR-TA1.9
產品品牌:泰克諾AC’TECHNO-AC’
產品類別:電纜測試/識別儀
產品備注:電纜故障定位儀
俄羅斯泰克諾AC’TECHNO-AC’電纜故障定位儀 TDR-TA1.9 產品概述:
TDR-TA1.9 是一款高精度 3 通道數字反射計,用于確定電力電纜線路中各種故障的距離:開路、短路、套管、電纜接頭、平行分支、濕電纜、高阻故障、間歇性故障等。
時域反射計 (TDR) – 最準確和安全 – 可有效診斷低電阻率電纜故障、搜索開路和短路。
時域反射計 (TDR) 是一種利用雷達原理的電纜設備。短探測脈沖提供給電纜線路。信號沿電纜傳播并在電纜阻抗異質性處部分或完全反射,最后返回到設備的輸入端。處理完接收到的信號后,設備會在屏幕上以公制系統顯示結果(波形特征)。
阻抗的異質性是由于電纜生產技術違規以及線路建設和維護過程中的機械和電氣缺陷造成的。異質性通常出現在其他設備與線路的連接點(耦合、分接頭、拼接電纜、線圈Pupin 等)或故障位置(開路、短路、電纜芯線浸漬、電流泄漏到接地、相鄰電線泄漏、蒸汽破裂等)。時域反射計 (TDR) 方法允許修復多個離散和多個不均勻性,具體取決于它們的長度和脈沖寬度的比率。
ARM(電弧反射法):
當使用低壓 TDR 方法時,定位具有高瞬態電阻 (R>10 kOhm) 的電纜故障通常很困難。定位電力電纜中此類缺陷的方法之一是電弧反射法 (ARM)。
ARM 方法的實現是通過附加設備進行的:高壓脈沖發生器 (HVPG) 和特殊連接裝置(作為外部單元或內部 HVPG 單元)。
ARM方法的本質是為故障點的短時間(幾毫秒)發生電弧(擊穿)創造條件(使用HPVG)。與燃燒電弧同步(從 HPVG 獲得的同步信號)反射計執行傳感。TDR 的探測脈沖由極性反轉的低電阻電弧反射(如短路波形)。該方法不需要預先隔離燃燒,在聚乙烯護套上工作時特別有效。
振蕩放電方法:
振蕩放電方法:脈沖電流 (ICM) 和衰減方法基于由于帶電電纜擊穿而發生的振蕩過程周期測量。
有兩種方法可以在電纜中產生振蕩過程:電壓波(衰減法)或電流波產生(ICM 法)。
為了產生電流/電壓波,高壓脈沖發生器 (HVPG) 將電纜中的電壓升高到發生擊穿或將內部電容器放電到電纜的時刻。
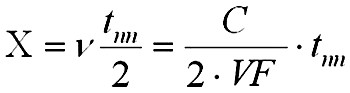
絕緣的缺陷導致在損傷點處產生擊穿,具有很小的電阻,并進行振蕩放電。知道電磁波沿電纜傳播的速度和振蕩過程的周期,我們可以計算到擊穿的距離:

式中 X——故障距離,m;v——電磁波在電纜中的傳播速度,m/ms;tnn——半周期振蕩過程,ms,c——光速,等于300m/ms;VF – 速度因子的值。為了達到最佳精度,只選擇第二個振蕩周期。
振蕩放電方法的實施是通過使用附加設備進行的:高壓脈沖發生器 (HVPG) 和特殊連接裝置。
TDR-TA1.9 提供以下測量方法:
時域反射計 (TDR)
弧光反射
振蕩放電(ICM,衰減)
俄羅斯泰克諾AC’TECHNO-AC’電纜故障定位儀 TDR-TA1.9 產品特征:
應用最現代的診斷和電纜故障預定位方法的可能性:TDR 法、電弧反射法 (ARM)、電壓波 (Decay)、電流波 (ICM) 法;
3 個線路輸入連接到三相電纜;
在分辨率為 640×480 像素的彩色 5.7″ TFT-LCD 上顯示波形;
能夠以所有組合(6 個波形)顯示所有測量通道;
非易失性存儲器 – 至少 1000 個波形,最多 6 個用于比較;
減法模式僅顯示波形差異;
最大射程 – 128 公里;
以增加的脈沖幅度(U2 = 86 V 開路)進行感應的可能性,以在高衰減電纜上工作;
實時測量;
兩個光標測量系統;
可以詳細查看反射圖的任何部分 – 多重縮放功能;
異步噪聲抑制;
間歇性故障模式檢測——“捕獲”功能;
內置速度系數表多達 300 個值;
外置U盤存檔波形庫和VOP庫,以及從U盤恢復庫到設備內存;
具有高機械強度的防濺和密封封閉體(防護等級 IP67)。
俄羅斯泰克諾AC’TECHNO-AC’電纜故障定位儀 TDR-TA1.9 產品應用:
Pulse TDR TDR-TA1.9 用于在安裝或操作以下類型的電纜線路時進行控制:
電力電纜;
架空電纜線;
系統電纜通訊;
信號和控制電纜;
計算機網絡;
電視和無線電電纜線;
確定電纜在制造、儲存和貿易過程中的長度。
俄羅斯泰克諾AC’TECHNO-AC’電纜故障定位儀 TDR-TA1.9 產品參數:
| 規格 | |
| 測量模式 | 時域反射計?(TDR) |
| 弧反射法?(ARM) | |
| 脈沖電流法?(ICM) | |
| 電壓衰減法(Decay) | |
| 單色液晶顯示器 | 彩色?TFT 5.7"(640×480?像素) |
| 量程測量距離(延遲時間) | 從?0?到?128000 m(0?到?1280 μs) |
| 距離子帶 | 0 – 62.5 m、0 – 125 m、0 – 250 m、0 – 500 m;0 – 1000 m、0 – 2000 m、0 – 4000 m、0 – 8000 m、0 – 16000 m、0 – 32000 m、0 – 64000 m、0 – 128,000 m |
| 距離儀器誤差 | 從子帶的?0.01%?到?0.2%(從?12.5 cm?到?8 m,VOP = 60%) |
| 有效采樣率 | 800兆赫 |
| 范圍協調阻力 | 從?20 Ω?到?600 Ω |
| 探頭脈沖持續時間 | 從?10 ns?到?100 μs |
| 探測脈沖的幅度 | U1 –?不低于?18 V |
| U2 –?不低于?86 V | |
| 靈敏度 | 優于?1 mV |
| 動態范圍 | 不低于?80?分貝 |
| 速度系數的設定范圍 | VOP = 33.3% … 99.9%(步長?0.01%) |
| 延時調節范圍(ARM) | 從?0?到?50 ms(步長?0.2 ms) |
| 同步?(ARM) | TDR?輸入 |
| 觸發輸入 | |
| 記憶 | 多達?1000?個波形的波形庫 |
| 電纜庫多達?300?根電纜 | |
| 特殊模式 | 減法模式只顯示差異; |
| 與設備內存中的跟蹤進行比較模式; | |
| 通過USB閃存進行PC數據交換; | |
| 拍攝模式 | |
| 連續電池工作時間 | 至少?8?小時 |
| 通過充電器連續工作時間 | 無限 |
| 方面 | 70x246x124?毫米 |
| 工作溫度范圍 | 從?-20 °C?到?+40 °C |
| 帶電池重量 | 不超過?2.5?公斤 |